
수학으로부터 인류를 자유롭게 하라(기초대수학편)
공대형아(신경식)
중고등학교 과정에서 배우는 수학 내용들을 압축한 강의입니다. 필요한 수학적 지식, 테크닉들을 각 아이템마다 많은 연습과 함께 배웁니다.
입문
대수학





GS리테일
임직원들도 이 강의를 듣고 있어요!





GS리테일
임직원들도 이 강의를 듣고 있어요!
먼저 경험한 수강생들의 후기
5.0
jamesjuwon
아주 좋은 강의입니다. 일단 완강은 했지만 완전히 다 소화한 상태는 아닙니다. 다시 재수강하면서 다져야겠습니다.
5.0
양창민
넘파이를 집중적으로 다뤄서 좋았습니다
5.0
김재형
파이썬 레벨3 기다리고 있어오
파이썬
넘파이
딥러닝 기초
데이터 사이언스에서 가장 중요한 넘파이를 바우고 텐서를 다루는 힘을 키워보세요!
넘파이는 데이터사이언스트에서 가장 중요한 라이브러리 중 하나입니다.
우리는 다음과 같은 이유로 넘파이를 반드시 잘 다룰 수 있어야 합니다.
본 강의에서는 단순히 ndarray 객체, API들의 사용법을 넘어
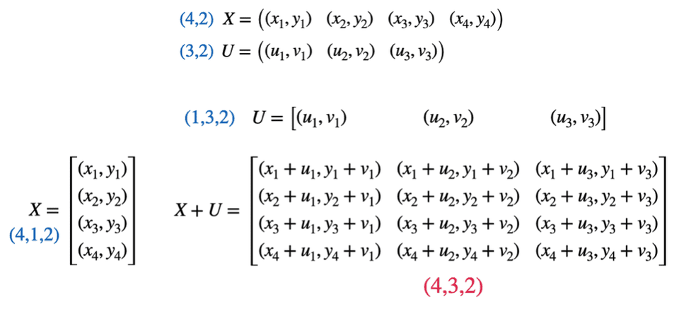
텐서를 다루는 힘 을 길러줍니다.
- 텐서들의 브로드캐스팅
- 2차원 텐서의 슬라이싱
- API들의 axis, keepdims 인자
- Fully-connected Operation을 Vectorization으로 구현하기
본 강의에서는 여러분들이 데이터사이언스를 다루기 위해 필수적으로 알아야할 API 들을 98% 이상 다룹니다.
또한 많은 연습문제를 통해 여러분들의 구현 능력을 대폭 향상시켜줍니다.
학습 대상은
누구일까요?
데이터 사이언스 입문자
딥러닝의 기본기를 탄탄히 다지고 싶은 분
구현 능력을 향상시키고 싶은 분
텐서를 다루는 힘이 부족한 분
선수 지식,
필요할까요?
파이썬 기초
[딥러닝을 위한 파이썬 레벨1]
[딥러닝을 위한 파이썬 레벨2]
3,654
명
수강생
172
개
수강평
85
개
답변
4.9
점
강의 평점
16
개
강의
[멋쟁이 사자처럼] 인공지능중고급과정
[국립기상과학원] 2022년, 2023년, 2025년 기상 AI 부스트캠프
[삼성전기] 신입SW과정 전문반
[국가과학기술인력개발원] R&D 수행 역량 강화 장기 멘토링
[국가과학기술인력개발원] R&D 전문과정 이러닝 컨텐츠 제작
[국가과학기술인력개발원] 박사후연구원 연구 데이터 시각화 과정
[원광대학교] 원광대학교 AI 집체교육 및 AI 장단기과정
[한국지능정보사회진흥원] SW여성인재 교육
[SK m&service] 데이터 기반 의사결정
[한국IT비즈니스진흥협회] ICT COG Academy
[서울시 교육청] 신기술분야 연수
[KT] KT AI 역량향상 과정
[K-ICT] 데이터 안심구역 분석캠프
[경기도경제과학진흥원] 처음으로 배우는 비전 AI
[경기도경제과학진흥원] 파이썬 데이터 분석 입문
[서울과학기술원] AI 활용 심화교육
[서울대학교] AI 활용 역량강화 교육
[HD한국조선해양] AIC AI 연구직 역량 평가 개발
[멀티캠퍼스] 원리부터 구현까지, 머신러닝 핵심 알고리즘 마스터
[패스트캠퍼스] 수학적으로 접근하는 딥러닝
[패스트캠퍼스] 한 번에 끝내는 머신러닝과 데이터분석 A-Z
[패스트캠퍼스] 바이트 디그리 Lv.2 Deep Learning Essentials
[패스트캠퍼스] 딥러닝인공지능 초격차
[패스트캠퍼스] 컴퓨터 공학 초격차 VER.2
전체
55개 ∙ (13시간 8분)
해당 강의에서 제공:
1. 넘파이 소개
22:37
2. 파이썬에서의 객체
23:59
3. 스페셜 메소드
17:43
4. ndarray 객체
18:50
5. 텐서와 ndarray
17:01
전체
20개
5.0
20개의 수강평
지식공유자님의 다른 강의를 만나보세요!