Giải phóng nhân loại khỏi toán học (Giải tích Part.I) - Đạo hàm

Giới hạn của hàm số, đạo hàm, quy tắc tính đạo hàm, công thức đạo hàm, ứng dụng của đạo hàm

(5.0) 11 đánh giá

329 học viên

Độ khó Nhập môn

Thời gian Không giới hạn

Integral Differential
Integral Differential
Integral Differential
Integral Differential

Đánh giá từ những học viên đầu tiên

5.0

5.0

박영서

34% đã tham gia

Xin hãy quay tiếp tập sau 😭😭 Quá tuyệt vời

5.0

dongjoo

100% đã tham gia

Xin chào. Tôi là kẻ thất bại nhưng hiện đang làm nhà phát triển ML. Cuối cùng, tôi cảm thấy mình cần toán để giỏi trí tuệ nhân tạo. Trong khi tôi đang cân nhắc xem mình có nên mua và giải lại bài giảng đặc biệt CSAT hay không, tôi đã đọc được "Đại số cơ bản" của người hướng dẫn Shin Kyung-sik. Tôi đã xem qua bài giảng. Thật dễ dàng để đặt ra những điều cơ bản tổng thể và cũng dễ dàng chỉ xem lại những phần cần thiết. Điều tuyệt vời nhất là nó thực sự dễ hiểu vì nó được so sánh với khoa học máy tính. Tất nhiên, có nhiều phần cần có thời gian để hiểu. Tiếp theo, tôi biết rằng bạn cũng sản xuất một khóa học tính toán nên tôi đã mua ngay. Thật tốt khi nó được giải thích một cách dễ hiểu và thật tốt khi nghiên cứu ngắn gọn trên đường đi làm hoặc về nhà vì nó được chia thành các chương theo khái niệm. Tôi bối rối vì tài liệu bài giảng bằng tiếng Anh. Tuy nhiên khi phát triển bạn phải sử dụng tiếng Anh nhiều, muốn sử dụng ML thì phải tra cứu rất nhiều tài liệu. Cảm ơn bạn đã sử dụng tiếng Anh, đặc biệt là khi hiểu các phương pháp và bài viết ML, nói rằng "Đó là những gì tôi thấy trong bài giảng." Tôi đã có thể nhận thấy nó ngay lập tức. Tôi nghĩ việc mua khóa học này thực sự là một ý tưởng hay và tôi cũng ngay lập tức mua khóa học đại số tuyến tính. Khi tôi xem hồ sơ của người hướng dẫn Shin Kyung-sik, tôi thấy rằng chưa có khóa học tích phân và thống kê nào. Nếu làm được tôi sẽ mua ngay. Anh ấy cũng đã tải một bài giảng về xử lý tín hiệu lên YouTube, bài giảng này rất hữu ích. Tôi rất mong bài giảng NumPy sẽ sớm được phát hành.

5.0

김정수

100% đã tham gia

Tôi rất thích bài giảng. Tôi cũng đang chờ tích phân, đại số tuyến tính và thống kê. ^^

Bạn sẽ nhận được điều này sau khi học.

  • Giải tích

  • Đạo hàm

Toán học không từ bỏ bạn đâu.
Vì vậy, bạn cũng đừng từ bỏ nhé.

Giải phóng nhân loại khỏi toán học 😎

Tôi hy vọng tất cả những ai sử dụng toán học đều có thể học toán một cách bài bản. Trong dự án <Giải phóng nhân loại khỏi toán học>, chúng ta sẽ học chuyên sâu từng môn học của toán học. Chúng tôi sẽ giúp bạn trở thành bậc thầy toán học bằng cách học sâu hơn và luyện tập nhiều hơn cả những gì được dạy ở đại học.

Trong bài giảng lần này, chúng ta sẽ cùng tìm hiểu về Vi phân, một môn học thiết yếu cho tất cả các môn học và lĩnh vực có sử dụng toán học.



📢 Vui lòng kiểm tra trước khi đăng ký học!

  • Khóa học này được giảng dạy theo hình thức nối tiếp, các bài giảng sẽ được cập nhật liên tục cho đến ngày 29 tháng 5.

Ưu điểm đặc biệt chỉ có ở bài giảng này 🔆

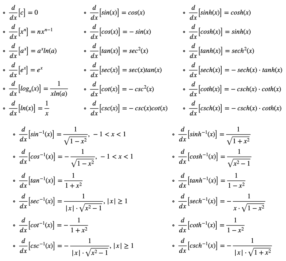
1) Dẫn xuất của tất cả các đạo hàm
Để luyện tập kỹ năng vi phân một cách đầy đủ, chúng ta sẽ trực tiếp thực hiện dẫn xuất đạo hàm của tất cả các hàm số thường được sử dụng trong kỹ thuật.


2) Giải bài tập thực hành

Trực tiếp giải các bài tập thực hành đa dạng đã được chuẩn bị sẵn.


Bạn sẽ học được những điều này 📚

Chúng ta sẽ học 8 chương sau đây để nắm vững kiến thức về đạo hàm.


Sách tham khảo 📖


Bài giảng liên quan 🤓


Khuyến nghị cho
những người này

Khóa học này dành cho ai?

  • Nhà nghiên cứu và phát triển sử dụng toán học

  • Người học Deep Learning

Cần biết trước khi bắt đầu?

  • Học viên khóa Đại số cơ bản

Xin chào
Đây là asdfghjkl13551941

3,649

Học viên

170

Đánh giá

85

Trả lời

4.9

Xếp hạng

16

Các khóa học

Lịch sử giảng dạy

  • [LIKE LION] Khóa học Trí tuệ nhân tạo Trung - Cao cấp

  • [Viện Khoa học Khí tượng Quốc gia] Khóa học Weather AI Boostcamp năm 2022, 2023, 2025

  • [Samsung Electro-Mechanics] Khóa học SW chuyên sâu dành cho nhân viên mới

  • [Viện Đào tạo Nhân lực Khoa học và Công nghệ Quốc gia] Chương trình cố vấn dài hạn nâng cao năng lực thực hiện R&D

  • [Viện Đào tạo Nhân lực Khoa học và Công nghệ Quốc gia] Sản xuất nội dung E-learning cho khóa học chuyên sâu về R&D

  • [Viện Đào tạo Nhân lực Khoa học và Công nghệ Quốc gia] Khóa học trực quan hóa dữ liệu nghiên cứu dành cho nghiên cứu sinh sau tiến sĩ

  • [Đại học Wonkwang] Đào tạo AI tập trung và Khóa học AI ngắn hạn & dài hạn tại Đại học Wonkwang

  • [Cơ quan Thúc đẩy Xã hội Thông tin và Trí tuệ Nhân tạo Hàn Quốc] Đào tạo nhân tài nữ trong lĩnh vực SW

  • [SK m&service] Ra quyết định dựa trên dữ liệu

  • [Hiệp hội Thúc đẩy Kinh doanh IT Hàn Quốc] ICT COG Academy

  • [Sở Giáo dục Seoul] Đào tạo lĩnh vực công nghệ mới

    [KT] Khóa học nâng cao năng lực AI của KT [K-ICT] Trại phân tích khu vực dữ liệu an toàn [Viện Thúc đẩy Kinh tế và Khoa học Gyeonggi] Học Vision AI lần đầu tiên [Viện Thúc đẩy Kinh tế và Khoa học Gyeonggi] Phân tích dữ liệu bằng Python

  • [KT] Khóa học nâng cao năng lực AI của KT

  • [K-ICT] Trại phân tích khu vực an toàn dữ liệu

  • [Viện Thúc đẩy Kinh tế và Khoa học Gyeonggi] Nhập môn Vision AI cho người mới bắt đầu

  • [Gyeonggido Business & Science Accelerator] Nhập môn phân tích dữ liệu bằng Python

  • [Viện Khoa học và Công nghệ Seoul] Đào tạo chuyên sâu về ứng dụng AI

  • [Đại học Quốc gia Seoul] Đào tạo nâng cao năng lực ứng dụng AI

  • [HD Korea Shipbuilding & Offshore Engineering] Phát triển đánh giá năng lực vị trí nghiên cứu AI tại AIC

  • [Multicampus] Từ nguyên lý đến thực thi, làm chủ các thuật toán học máy cốt lõi

  • [패스트캠퍼스] Tiếp cận Deep Learning dưới góc độ toán học

  • [패스트캠퍼스] Trọn bộ từ A-Z về Machine Learning và Phân tích dữ liệu trong một lần học

  • [패스트캠퍼스] Byte Degree Lv.2 Deep Learning Essentials

  • [Fast Campus] Khoảng cách siêu biệt về Trí tuệ nhân tạo Deep Learning

  • [Fast Campus] Khoảng cách siêu việt Khoa học máy tính VER.2

    Phân tích A-Z [Fast Campus] Byte Degree Lv.2 Deep Learning Essentials [Fast Campus] Deep Learning AI Super Gap [Fast Campus] Khoa học Máy tính Super Gap VER.2

Thêm

Chương trình giảng dạy

Tất cả

79 bài giảng ∙ (16giờ 44phút)

Tài liệu khóa học:

Tài liệu bài giảng
Ngày đăng: 
Cập nhật lần cuối: 

Đánh giá

Tất cả

11 đánh giá

5.0

11 đánh giá

  • wildlinekim9846님의 프로필 이미지
    wildlinekim9846

    Đánh giá 1

    Đánh giá trung bình 5.0

    5

    100% đã tham gia

    Tôi rất thích bài giảng. Tôi cũng đang chờ tích phân, đại số tuyến tính và thống kê. ^^

    • thestand9님의 프로필 이미지
      thestand9

      Đánh giá 16

      Đánh giá trung bình 5.0

      5

      99% đã tham gia

      Đó là một sự trợ giúp tuyệt vời vì bạn đã giải thích từng bước một cách dễ hiểu. Bạn có thể cho tôi một lịch trình sơ bộ về thời gian mở các bài giảng về phần tích phân và đại số tuyến tính không?

      • asdfghjkl13551941
        Giảng viên

        Xin chào! Cảm ơn bạn đã yêu thích bài giảng. Đại số tuyến tính hiện đang được ghi lại. Tuy nhiên, do số lượng bài giảng lớn nên dự kiến ​​sẽ mất khoảng một tháng. Tích phân sẽ được chuẩn bị sau các bài giảng về đại số tuyến tính và xác suất.

    • dongjoo2350님의 프로필 이미지
      dongjoo2350

      Đánh giá 1

      Đánh giá trung bình 5.0

      5

      100% đã tham gia

      Xin chào. Tôi là kẻ thất bại nhưng hiện đang làm nhà phát triển ML. Cuối cùng, tôi cảm thấy mình cần toán để giỏi trí tuệ nhân tạo. Trong khi tôi đang cân nhắc xem mình có nên mua và giải lại bài giảng đặc biệt CSAT hay không, tôi đã đọc được "Đại số cơ bản" của người hướng dẫn Shin Kyung-sik. Tôi đã xem qua bài giảng. Thật dễ dàng để đặt ra những điều cơ bản tổng thể và cũng dễ dàng chỉ xem lại những phần cần thiết. Điều tuyệt vời nhất là nó thực sự dễ hiểu vì nó được so sánh với khoa học máy tính. Tất nhiên, có nhiều phần cần có thời gian để hiểu. Tiếp theo, tôi biết rằng bạn cũng sản xuất một khóa học tính toán nên tôi đã mua ngay. Thật tốt khi nó được giải thích một cách dễ hiểu và thật tốt khi nghiên cứu ngắn gọn trên đường đi làm hoặc về nhà vì nó được chia thành các chương theo khái niệm. Tôi bối rối vì tài liệu bài giảng bằng tiếng Anh. Tuy nhiên khi phát triển bạn phải sử dụng tiếng Anh nhiều, muốn sử dụng ML thì phải tra cứu rất nhiều tài liệu. Cảm ơn bạn đã sử dụng tiếng Anh, đặc biệt là khi hiểu các phương pháp và bài viết ML, nói rằng "Đó là những gì tôi thấy trong bài giảng." Tôi đã có thể nhận thấy nó ngay lập tức. Tôi nghĩ việc mua khóa học này thực sự là một ý tưởng hay và tôi cũng ngay lập tức mua khóa học đại số tuyến tính. Khi tôi xem hồ sơ của người hướng dẫn Shin Kyung-sik, tôi thấy rằng chưa có khóa học tích phân và thống kê nào. Nếu làm được tôi sẽ mua ngay. Anh ấy cũng đã tải một bài giảng về xử lý tín hiệu lên YouTube, bài giảng này rất hữu ích. Tôi rất mong bài giảng NumPy sẽ sớm được phát hành.

      • asdfghjkl13551941
        Giảng viên

        Xin chào! Tôi thực sự vui mừng vì bạn thấy bài giảng hữu ích! Điều đó không hề dễ dàng, nhưng tôi thực sự nghĩ rằng thật tuyệt vời khi bạn đã chọn đi theo con đường này! Chúng tôi sẽ cố gắng cung cấp các bài giảng toán khác với chất lượng tốt nhanh nhất có thể trong tương lai😃

    • 1park41702629님의 프로필 이미지
      1park41702629

      Đánh giá 4

      Đánh giá trung bình 5.0

      5

      34% đã tham gia

      Xin hãy quay tiếp tập sau 😭😭 Quá tuyệt vời

      • technet72974014님의 프로필 이미지
        technet72974014

        Đánh giá 2

        Đánh giá trung bình 5.0

        5

        30% đã tham gia

        Lần đầu tiên sau một thời gian, tôi sẽ được nghe một bài giảng toán đúng nghĩa về đạo hàm. Cảm ơn. Tôi biết bạn bận, nhưng nếu bạn có thể làm đại số tuyến tính, thống kê, v.v. trong tương lai, Tôi sẽ quảng bá nó đến những người xung quanh và tôi sẽ lắng nghe chăm chỉ hơn.

        • asdfghjkl13551941
          Giảng viên

          Cảm ơn bạn đã suy nghĩ tích cực về bài giảng😃 Hiện tại tôi đang chuẩn bị cho bài giảng đại số tuyến tính và thống kê nên hẹn gặp lại bạn ở những bài giảng hay hơn!

      Khóa học khác của asdfghjkl13551941

      Hãy khám phá các khóa học khác của giảng viên!