
수학으로부터 인류를 자유롭게 하라(선형대수학 Part.I) - 벡터기하학
공대형아(신경식)
₩69,300
입문 / 선형대수학, 대수학
4.6
(7)
선형대수학의 첫 번째 강의로서, 벡터와 벡터의 연산을 기하학적으로 이해하는 강의입니다.
입문
선형대수학, 대수학

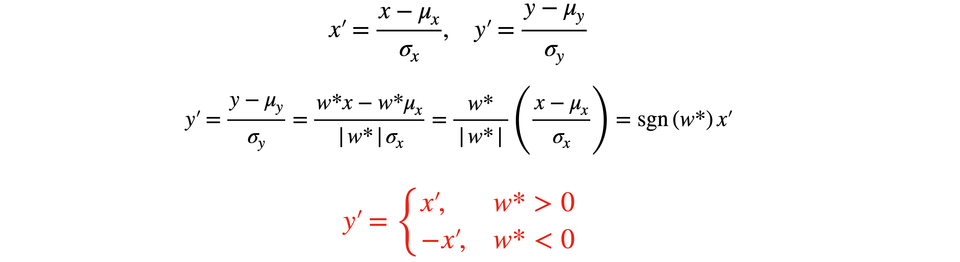
Gradient-based Linear Regression (1)에서 직접 구현한 코드를 PyTorch의 기능들을 이용하여 실전 코드로 구현하는 방법을 배우는 강의입니다. 또한 데이터 전처리에 대한 필요성, 이론, 학습에 미치는 영향을 이론적으로 배우고, 실전 코드로 구현하는 강의입니다.
28명 이 수강하고 있어요.
난이도 입문
수강기한 무제한
PyTorch를 이용한 실전 코드 작성법
PyTorch API들의 작동 원리
데이터 전처리
딥러닝 학습 파이프라인
학습 대상은
누구일까요?
딥러닝을 제대로 학습하고 싶으신 분
딥러닝의 기초를 탄탄히 다지고 싶으신 분
선수 지식,
필요할까요?
미분의 기초 개념(Gradients and PyTorch's Autograd 강의 참고)
Gradient Descent의 개념(Gradient Descent 강의 참고)
간단한 선형 회귀 과정의 개념(Gradient-based Linear Regression (1) 강의 참고)
3,601
명
수강생
163
개
수강평
85
개
답변
4.9
점
강의 평점
16
개
강의
[멋쟁이 사자처럼] 인공지능중고급과정
[국립기상과학원] 2022년, 2023년, 2025년 기상 AI 부스트캠프
[삼성전기] 신입SW과정 전문반
[국가과학기술인력개발원] R&D 수행 역량 강화 장기 멘토링
[국가과학기술인력개발원] R&D 전문과정 이러닝 컨텐츠 제작
[국가과학기술인력개발원] 박사후연구원 연구 데이터 시각화 과정
[원광대학교] 원광대학교 AI 집체교육 및 AI 장단기과정
[한국지능정보사회진흥원] SW여성인재 교육
[SK m&service] 데이터 기반 의사결정
[한국IT비즈니스진흥협회] ICT COG Academy
[서울시 교육청] 신기술분야 연수
[KT] KT AI 역량향상 과정
[K-ICT] 데이터 안심구역 분석캠프
[경기도경제과학진흥원] 처음으로 배우는 비전 AI
[경기도경제과학진흥원] 파이썬 데이터 분석 입문
[서울과학기술원] AI 활용 심화교육
[서울대학교] AI 활용 역량강화 교육
[HD한국조선해양] AIC AI 연구직 역량 평가 개발
[멀티캠퍼스] 원리부터 구현까지, 머신러닝 핵심 알고리즘 마스터
[패스트캠퍼스] 수학적으로 접근하는 딥러닝
[패스트캠퍼스] 한 번에 끝내는 머신러닝과 데이터분석 A-Z
[패스트캠퍼스] 바이트 디그리 Lv.2 Deep Learning Essentials
[패스트캠퍼스] 딥러닝인공지능 초격차
[패스트캠퍼스] 컴퓨터 공학 초격차 VER.2
전체
18개 ∙ (3시간 46분)
해당 강의에서 제공:
지식공유자님의 다른 강의를 만나보세요!
같은 분야의 다른 강의를 만나보세요!
₩9,900